Portes logiques et algèbre de boole
Exercices : Portes logiques et algèbre de boole
EXERCICE 1
1)
a. Déterminer l’équation du circuit de la figure suivante :
b. Dresser la table de vérité de ce circuit
c. Quelle est la fonction logique réalisée et quel est son symbole ?
2) Mêmes questions pour le circuit de la figure suivante :
3) Mêmes questions pour le circuit de la figure suivante :
EXERCICE 2
1. Déterminer l’équation du circuit de la figure suivante :
2. Transformez le circuit ci-dessus en portes NON-ET à deux entrées.
EXERCICE 3
1. Complétez la table de vérité correspondante au circuit logique suivant :
2. Extraire l’équation de S à partir de la table de vérité.
3. Complétez le chronogramme suivant :
EXERCICE 4
Utiliser les théorèmes de l’algèbre de boole pour démontrer les relations suivantes :
EXERCICE 5
Simplifier les équations logiques suivantes :
--------------------------------------------------------------------------------------
CORRECTION - SOLUTIONS
--------------------------------------------------------------------------------------


Exercices corrigés : Portes logiques et algèbre de boole
SOLUTION EXERCICE 1
1)
a.
b.
c. La fonction logique réalisée est : le ET logique (AND), son symbole est :
2)
La fonction logique réalisée est : le OU logique (OR), son symbole est :
3)
La fonction logique réalisée est : le OU exclusif (XOR), son symbole est :
SOLUTION EXERCICE 2
1)
2)
SOLUTION EXERCICE 3
1)
2)
3)
SOLUTION EXERCICE 4


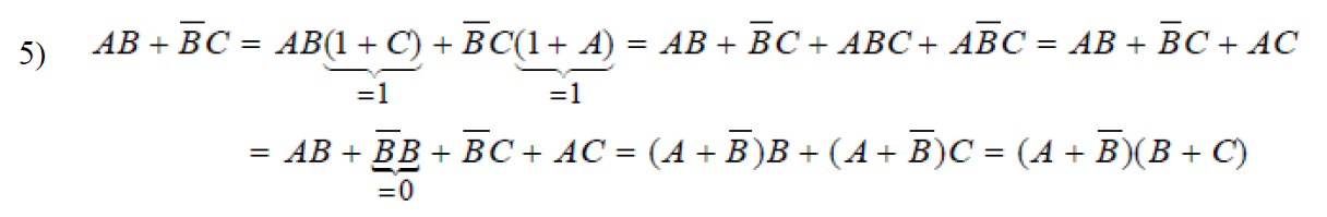
SOLUTION EXERCICE 5
Article plus récent Article plus ancien





























